
Featured
Árverési hírdetmény
Hírek, közlemények
Találatok: 2399
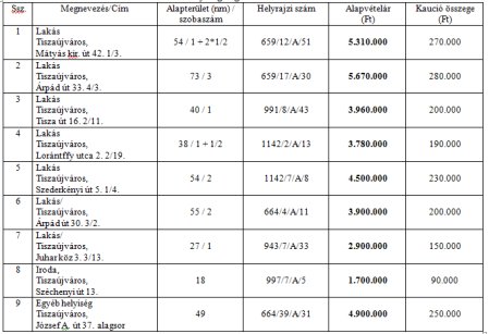
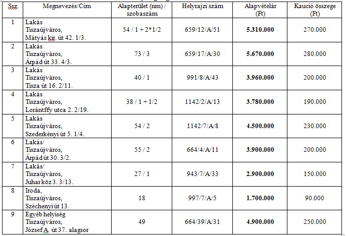
A Tiszaújváros Polgármesteri Hivatala értékesítésre meghirdeti az önkormányzat tulajdonában lévő alábbi üres társasházi lakás- és helyiség ingatlanokat.
Az ingatlanok árverésen kerülnek értékesítésre a kihirdetett alapvételárról induló szabad licitálással.
Az árverésen való részvétel feltételei:
- az értékesítés feltételeinek megismerése és elfogadása,
- határidőben beadott jelentkezési lap és nyilatkozat,
- legalább egy alkalommal az ingatlan megtekintése,
- az árverésen való személyes részvétel vagy a pályázó törvényes meghatalmazottjának jelenléte,
- a megadott összegű kaució befizetése és a befizetés igazolása. .
Jelentkezési lapok beszerezhetőek:
Polgármesteri Hivatal Pénzügyi, Fejlesztési és Városüzemeltetési Irodájában, ügyintéző: Bazsó Gábor vagyonkezelési munkatárs (117. iroda)
Jelentkezési lapok benyújtási határideje: 2012. december 03-án 12,00 óráig Polgármesteri Hivatal Pénzügyi, Fejlesztési és Városüzemeltetési Irodájában, ügyintéző: Bazsó Gábor vagyonkezelési munkatárs (117. iroda)
Árverés ideje, helye: 2012. december 04-én 09.00 óra a Polgármesteri Hivatalban (találkozás: 117. számú iroda)
